Human IgG4(S228P), kappa Isotype Control

Human IgG4(S228P), kappa Isotype Control
Human IgG4(S228P), kappa Isotype Control

Details and Advantages

Code: 400-101-028

Specification: 1mg / 20mg

Applications: Isotype Control

Reactivity:

Conjugate: Unconjugated

Advantages:

  • High lot-to-lot consistency

  • Increased sensitivity and higher affinity

  • Animal-free production

Product Detail

Product Detail

Description:
Human IgG4(S228P), kappa Isotype Control is designed as a negative control in Human IgG4 antibody(with the mutation S228P) staining applications. Human IgG4, kappa Isotype Control(S228P) belongs to the same immunoglobulin class and subclass as the Human IgG4 antibody(with the mutation S228P) which is used in the experiment but lack affinity to the protein of interest. Human IgG4(S228P), kappa Isotype Control makes experiments credible,

Isotype: Human IgG4(kappa)
Conjugate: Unconjugated
Specificity: HEL(hen egg-white lysozyme)
Purity: Human cell production, Recombinant Expression and Affinity purified, > 95%(HPLC)
Concentration: 1mg/ml
Endotoxin: < 0.2 EU/mg(LAL gel clotting)
Formation: Liquid, 10mM PBS (pH 7.5)
Storage: Store at –20 °C, (Avoid freeze / thaw cycles)

Background:
Antibodies bind to a specific protein or antigen, but sometimes an antibody can bind to other proteins or cellular components in a non-specific manner. Experimental controls are critical in determining if the antibodies used in your experiment have any off-target binding capabilities. Off-target or non-specific binding by antibodies lead to false positive results, making it difficult to determine background staining from antigen-specific staining. Therefore, it is important to always include experimental controls to ensure reliable results.


Application Notes:

Negative control for Human IgG4(kappa) antibody(with the mutation S228P)
Using at a dilution as the test antibody which is used in the experiment.

FAQ

Citations

Related Products

Consult

Contact

Telephone:

+86 138 8067 6215

Address:

Building 16, No.99 Haiwang Road, Wenjiang, Chengdu, China 611130

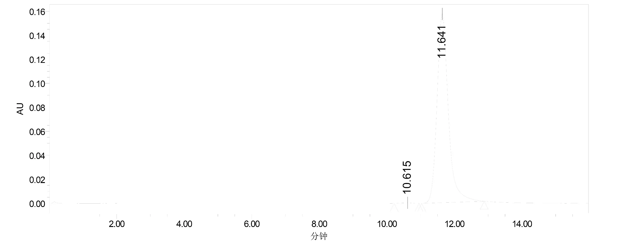
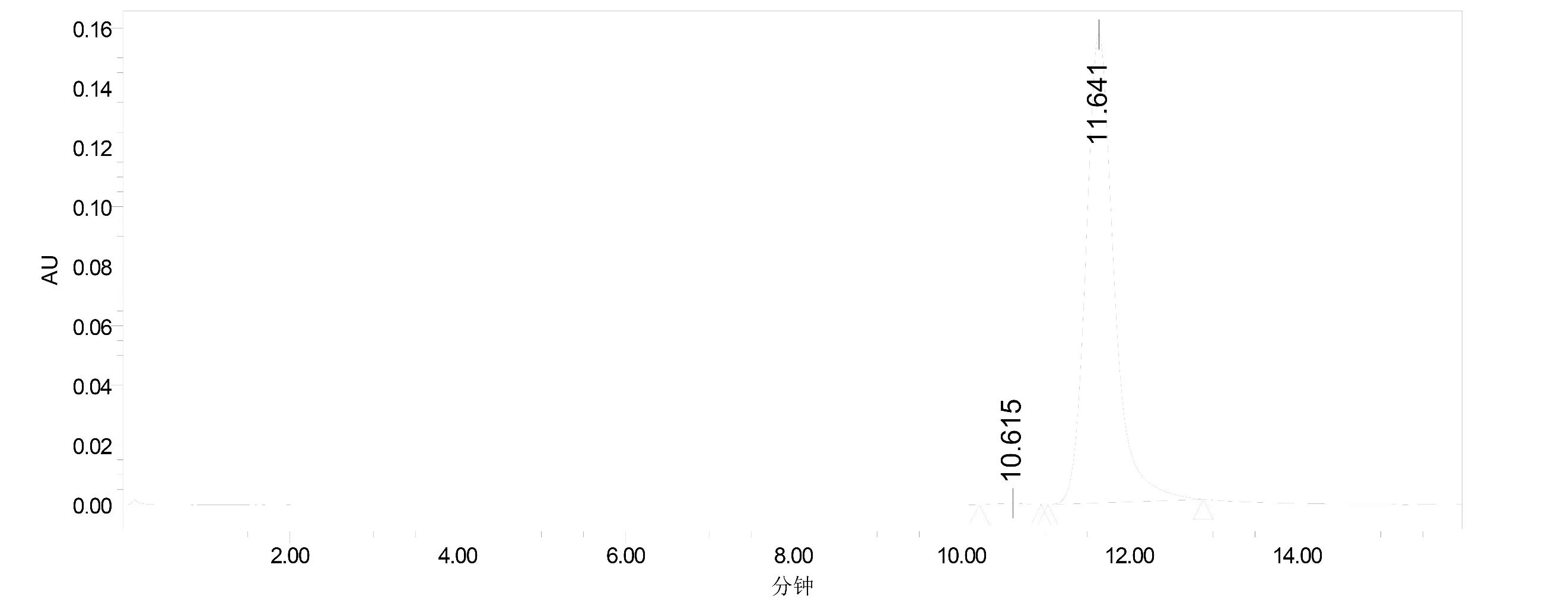
SEC-HPLC

The purity of Isotype Control is more than 95% by SEC and the molecular weight of this protein is around 150kDa.